No one likes to read incomprehensible prose (or rather, almost no one does), but oversimplified baby talk is also annoying. In short, you want to write readable content that aligns with the wishes of your target audience. In this blog post, I’ll dig a little deeper into what readability is, how to measure it (with the Coleman-Liau Index and Flesch-Kincaid Index), why it’s important and how to write your own readable content.
What is readability?
Readability is a way of measuring how clear and understandable any piece of written text is. Language comprehension is a very important factor (are you using complex words or abstract sentence construction?), but layout, structure, and fonts also play their part.
Why is readability so important for SEO?
As far as we know (Google doesn’t always make this information public), readability is not a direct ranking factor in the compilation of search results. That means marketers would rather pay attention to technical SEO and the use of the right keywords.
But readability is pretty important as an indirect factor: by writing in an easy-to-read way, your target audience is sure to spend more time on your website. They are also less likely to click on one of the other search results instead. That’s a signal to Google that you’re providing valuable content. In future searches, your page will rank higher because of it.
As an aside, copy that is easy to read will turn more website visitors into actual customers. That makes it an important element in your conversion optimization.
Take a look at: Higher conversion rate on your website? Here’s how to get started.
How do you measure readability?
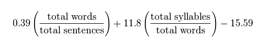
This topic has been in play for much longer than search engine optimization or even the internet. In the 1940’s, Austrian-American Rudolf Flesch developed a formula to measure the readability of your writing.
The so-called Flesch Reading Ease Readability Formula:
You get a high score by writing short sentences with short words. Later on, the Coleman-Liau Index was developed to measure letters, rather than syllables, making things easier for computers.
Of course, the length of sentences and words aren’t the only factors to determine the readability of a text. The tips below will help you write readable content for your audience.
Know who you’re writing for
Determining your key audience is important. For the purposes of this article, I’ll limit that to your audience’s education level. The higher their education, the more complex text people are able to read.
However, that doesn’t mean that readers with a university education level are dying to read particularly complicated text content. Do you want to write for an audience that’s as broad as possible? Try to write at a B1 level:
- Frequently used words (find a vocabulary list here).
- Short sentences.
- Active sentences.
Spoken language vs. written language
Writing in a conversational way is a huge help in the readability of your content. (Feel free to skip all the uhs and hmms, though.)
Imagine your blog post is a story you’re telling a friend. As you write, you can literally read it out loud to them, and you’ll easily be able to tell how it comes across.
Source: Unsplash
Typography & design
How your text is presented is also important to its readability. Choose a clear font like Arial or Helvetica. ‘Funny’ fonts, like the notorious Comic Sans, are to be avoided. (Or are they?)
According to experts, the ideal font size for desktop is 16 pixels, but the golden rule here is that you shouldn’t have to lean forward to be able to read the text on the screen properly.
Structure
Finally, a clear structure is essential for a readable piece of text, since many people will be scanning your blog post.
Using short paragraphs and subheadings will make larger pieces of text easier to process. Adding images and videos can be helpful as well.
Conclusion: this is how you write readable content
Easy-to-read text can indirectly land you higher in Google search results. Additionally, more people will purchase your product or service when they enjoy reading your blog.
Popular words, short sentences, and active verbs will give your content a high readability factor.
A scannable structure, easy-to-read font, and a conversational writing style will allow you to reach a larger audience.
Finding it hard to remember and implement all those guidelines on your own? Textmetrics automatically keeps an eye on your writing to make sure it’s readable for your audience.
